Practice Free OMG-OCEB2-FUND100 Exam Online Questions
Which graphic about data objects in BPMN is correct?


- A . Option A
- B . Option B
- C . Option C
- D . Option D
When connecting Flow Objects with Message Flows, which constraint is valid?
- A . Message Flows must be at a 90 degree angle from Sequence Flows.
- B . A Message Flow cannot connect a Pool with a Collapsed Sub-Process.
- C . Message Flows cannot connect to Flow Objects that are within the same Pool.
- D . A Message Flow cannot connect a Message End Event with a Catch-Message Intermediate Event.
Which practice is an essential prerequisite to compliance within an organization?
- A . to hire experts knowledgeable in the applicable laws and standards
- B . to engage in lobbying to influence the content of authoritative rules
- C . to reduce the number of processes for which compliance is needed
- D . to follow properly structured and validated organizational controls
According to Chang in Business Process Management Systems, which is the key enabler of Business Process Re-engineering (BPR)?
- A . Incremental change
- B . Labor specialization
- C . Information technology
- D . Strong functional structure
What is the key role of the Finance department in a company?
- A . to track the flow of money the company generates
- B . to ensure the company has the money it needs to operate
- C . to operate back-office functions in the service organization
- D . to ensure the company fulfills all applicable regulatory requirements
Which scenario does the diagram depict?

- A . Send a message, then immediately perform B.
- B . Receive a message, then immediately perform B.
- C . Send a message and perform some work in A, then perform B.
- D . Receive a message and perform some work in A, then perform B.
What is a characteristic of a goal, as defined in the Business Motivation Model (BMM)?
- A . A goal should be broad.
- B . A goal describes a state to be brought about.
- C . A goal should be attainable and measurable.
- D . A goal can be realized by Business Processes.
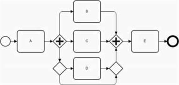
Which scenario fits this BPMN diagram?

- A . Choose a product, insert the delivery address, choose type of dispatch, pay for the product, confirm order.
- B . Choose a destination, choose a connection, pay for the ticket, optionally reserve a seat, print out the ticket.
- C . Enter one or several e-mail addresses for recipients, optionally add further addresses for cc-recipients, write some text, optionally add attachments, send e-mail.
- D . Get on the bike, drive the bike, pedal, optionally changing gears, get off the bike.
In a process-focused or process-centric organization, a formal governing body that oversees enterprise processes should also do what?
- A . Firefight business problems
- B . Define the organization’s business strategy
- C . Prioritize initiatives and allocate resources
- D . Define the organization’s senior executive structure
In the BMM, which element defines enterprise measures of performance?
- A . Objectives
- B . Assessments
- C . Critical Success Factors
- D . Key Performance Indicators
